发布时间:2026-01-21
阅读:
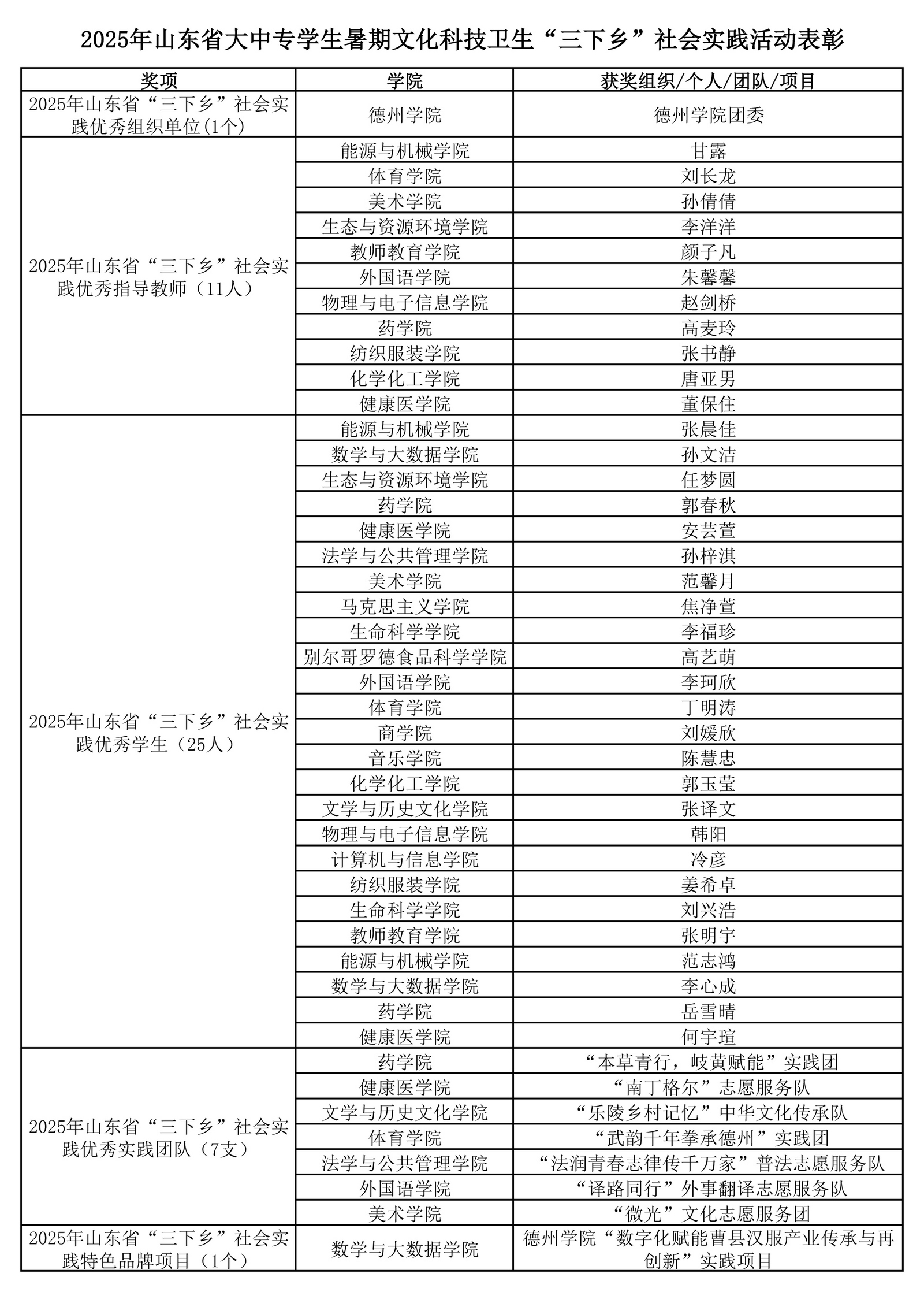
近日,团省委、省学联联合省委宣传部、省教育厅等单位公布了《关于2025年山东省大中专学生暑期文化科技卫生“三下乡”社会实践活动的通报》(鲁青联〔2025〕23号),对2025年暑假“三下乡”社会实践活动中表现突出的优秀集体、个人和项目进行通报表扬。校团委被评为省级优秀组织单位,能源与机械学院甘露等11名教师被评为全省优秀指导教师,能源与机械学院张晨佳等25名学生被评为省级优秀学生,药学院“本草青行,岐黄赋能”实践团等7支队伍被评为省级优秀实践团队,数学与大数据学院“数字化赋能曹县汉服产业传承与再创新”实践项目被评为省级特色品牌项目。
2025年暑期,校团委牵头多部门联动,紧扣“青春为中国式现代化挺膺担当”主题,将“脚沾泥土,心系家国”实践育人理念贯穿始终,统筹校内外力量组建国家级、省级、校级重点实践团队562支,5142余名师生踊跃参与。学校深入实施“三下乡”暑期社会实践与人才培养、学科专业、科创竞赛、实习实践、思政课改革创新、社会服务的“六个结合”路径,创新开展“百千万”专项行动,旨在通过2-3年持续建设构建新时代实践育人体系、打造德院育人品牌。
学校将珍惜荣誉、用好平台、砥砺前行,以系统思维一体推进“三下乡”“返家乡”“百万大学生进社区”提质增效,拓展实践阵地,深化共青团实践育人与“大思政课”融合,引领青年学子在社会大课堂中淬炼思想、砥砺品格,以“行走的思政课”凝聚奋进力量,凝聚青春磅礴之力,为谱写中国式现代化山东篇章注入强劲动能。

(作者:团委 廉花 供稿审核人:李芳菲)
相关新闻
点击排行
德州学院“教师师德失范行为”举报投诉电话 邮箱
学校在省属本科高校高质量发展绩效考核中再获“优秀”等次
德州学院科研诚信建设和学术不端行为举报投诉电话 邮箱
我校在2026软科中国大学排名跃升19个位次
关于征求树立和践行正确政绩观学习教育意见建议的公告
文学院翟兴娥教授参与录制德州交通音乐频道《科普之声》
学校一项研究成果获中国产学研合作促进会科技创新奖
德州学院面向山东省 2022 年本科报考志愿填报建议
德州学院召开干部会议宣布省委关于学校领导班子调整的决定
德州学院-马来亚大学联合培养博士研究生招生简章
推荐阅读
学校党委理论学习中心组(扩大)进行集体学习
【区域文化传承创新在德院】我校两项作品入选教育部“礼敬中华优秀传统文化”宣传教育优秀名单
学校召开2026年学生工作会议部署重点工作
【服务产业在德院】我校教师进驻希森博士后科研工作站仪式在乐陵举行
我校获批2025年全省党校(行政学院)系统课题立项
学风引领迎新风 专业点亮迎新点——德州学院2024迎新记
你好,新德院人——德州学院喜迎2024级新生
李永舫一行来校考察
青春挥洒乡村校园!学校945名大学生赴基层支教
我校学生入选山东省师范生“我的教师梦”主题演讲活动优秀人员